Производная в 10-11 классах
сайт для любознательных
Главная страница
Информация о сайте
Введение в понятие производной
История
Теоретический материал
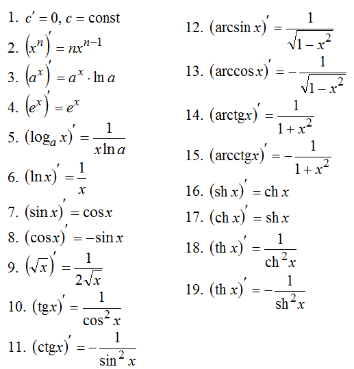
Таблица производных
Правила дифференцирования
Практические задания
Контроль знаний
Глоссарий
Библиографический список
Об авторе
Таблица производных элементарных функций